メディア効果の可視化データは、MediaSummary クラスと MediaEffects クラスで確認できます。ここでは、それぞれに違うプロットでチャネルごとのメディア指標が表示されます。この方法では、標準の HTML 出力では入手できない、カスタマイズしたプロットを作成できます。たとえば、特定のチャネルのデータをプロットしたり、信頼区間を変更または削除したり、Adstock 減衰を追加したり、Hill 飽和曲線を追加したりできます。
MediaSummary クラスでは、次のグラフをプロットできます。
MediaEffects クラスでは、次の曲線をプロットできます。
貢献度面グラフ
貢献度面グラフでは、合計結果(収益または KPI)に対する各マーケティング チャネルの貢献度の割合が、時間の経過とともに積み上げ面グラフとして示されます。塗りつぶされた各層の高さは、特定の時点でのそのチャネルの貢献度を表します。ある時点でのすべての層の高さを合計すると、合計結果になります。各層の高さの経時的な変化は、チャネルの貢献度の変動を示しています。
チャネルの貢献度面グラフをプロットするコマンドは次のとおりです。
media_summary.plot_channel_contribution_area_chart()
出力例:
貢献度バンプチャート
貢献度バンプチャートは、増分結果に基づく各チャネルの貢献度(基準線を含む)の相対的なランキングを時間の経過とともに表したグラフです。線はそれぞれ 1 つのチャネルを表し、縦の並びは特定の時点におけるチャネルのランキングを示します。ランク 1 は最も貢献度が大きいことを意味します。線が上昇している場合はランクが上昇しており、線が下降している場合はランクも低下しています。線が交差している場合は、チャネル間で相対的なパフォーマンスの変動があったことを示します。ランクは、週ごとまたは四半期ごとに表示できます。
チャネルの貢献度バンプチャートをプロットするコマンドは次のとおりです。
media_summary.plot_channel_contribution_bump_chart()
出力例:
貢献度ウォーターフォール チャート
貢献度ウォーターフォール チャートでは、各チャネルが収益または KPI の合計増分にどの程度貢献したかを確認できます。基準線は、メディア効果がない場合の収益または KPI を表します。
貢献度ウォーターフォール チャートをプロットするコマンドは次のとおりです。
media_summary.plot_contribution_waterfall_chart()
出力例:
貢献度円グラフ
すべてのチャネルの収益または KPI の増分に対する貢献度を円グラフで確認できます。比較の対象となるのは、メディア効果がない場合の基準線となります。
貢献度円グラフをプロットするコマンドは次のとおりです。
media_summary.plot_contribution_pie_chart()
出力例:
費用と貢献度
費用と貢献度のグラフでは、費用と収益または KPI の増分をチャネル間で比較できます。このデータを見ると、各チャネルに投下されたメディア費用の割合と、収益または KPI の合計増分に対する各チャネルの貢献度の割合を把握できます。収益(または KPI)の 100% は、基準線を除く、メディアからの収益(または KPI)の増分の合計となります。また、緑色の棒は各チャネルの費用対効果(ROI)を示しています。
費用と貢献度をプロットするコマンドは次のとおりです。
media_summary.plot_spend_vs_contribution()
出力例:
チャネル別費用対効果
チャネル間で費用対効果(ROI)を比較すると、各チャネルの費用が収益にどのように影響しているかを把握できます。費用対効果は、費用 1 ドルあたりの収益として算出されます。その数値が信頼区間とともにプロットされます。
チャネル別費用対効果をプロットするコマンドは次のとおりです。
media_summary.plot_roi_bar_chart()出力例:
信頼区間(
ci)を削除したり、別の信頼区間に更新したりすることもできます。次の例は、信頼区間を削除する方法を示しています。
media_summary.plot_roi_bar_chart(include_ci=False)出力例:
通貨単位の値が不明な収益以外のタイプの KPI がデータに含まれている場合は、代わりに KPI の増分あたりの費用(CPIK)を比較できます。
チャネル別 CPIK をプロットするコマンドは次のとおりです。
media_summary.plot_cpik()
費用対効果と有効性
費用対効果と有効性をプロットすると、各チャネルの費用対効果(ROI)と有効性を比較できます。有効性は、メディア ユニットあたりの収益の増分として測定されます。このグラフでは、各チャネルの規模が費用レベルに対応しています。円が大きいほど、チャネルの費用が多いことを意味します。
費用対効果と有効性をプロットするコマンドは次のとおりです。
media_summary.plot_roi_vs_effectiveness()出力例:
比較するチャネルをカスタマイズしたり、サイズを同一にしてプロットしたりすることもできます。
サイズの違いを無効にするコマンドは次のとおりです。
media_summary.plot_roi_vs_effectiveness(disable_size=True)出力例:
費用対効果と限界費用対効果
費用対効果(ROI)と限界費用対効果(mROI)を比較できます。mROI は、費用を追加することで得られる費用対効果です。円のサイズは、チャネルの費用に対応しています。費用が多いほど円が大きくなります。
ROI と mROI をプロットするコマンドは次のとおりです。
media_summary.plot_roi_vs_mroi()出力例:
表示するチャネルを選択し、ROI 軸と mROI 軸を同じサイズで表示することもできます。サイズの違いを無効にすることもできます。
次のコマンド例では、特定のチャネルを選択し、軸のサイズを同一に設定しています。
media_summary.plot_roi_vs_mroi( selected_channels=["Channel1", "Channel4"], equal_axes=True )出力例:
応答曲線
応答曲線には、現在の費用レベルと、チャネルあたりの費用に対するリターンが低下し始めるポイントが表示されます。
各チャネルの応答曲線は 1 つのプロットにまとめて表示することも、個別にプロットすることもできます。プロットの網掛け部分は信頼区間、点は現在の費用を意味します。
個別のプロットとして応答曲線を表示する方法は次のとおりです。
media_effects = visualizer.MediaEffects(mmm) media_effects.plot_response_curves()出力例:(画像をクリックして拡大)

曲線を 1 つのプロットにまとめて表示し、信頼区間を非表示にする方法は次のとおりです。
media_effects = visualizer.MediaEffects(mmm) media_effects.plot_response_curves( plot_separately=False, include_ci=False )出力例:
費用を基準とした上位のチャネルのみの応答曲線を表示する方法は次のとおりです。
media_effects = visualizer.MediaEffects(mmm) media_effects.plot_response_curves( plot_separately=False, num_channels_displayed=1 )出力例:
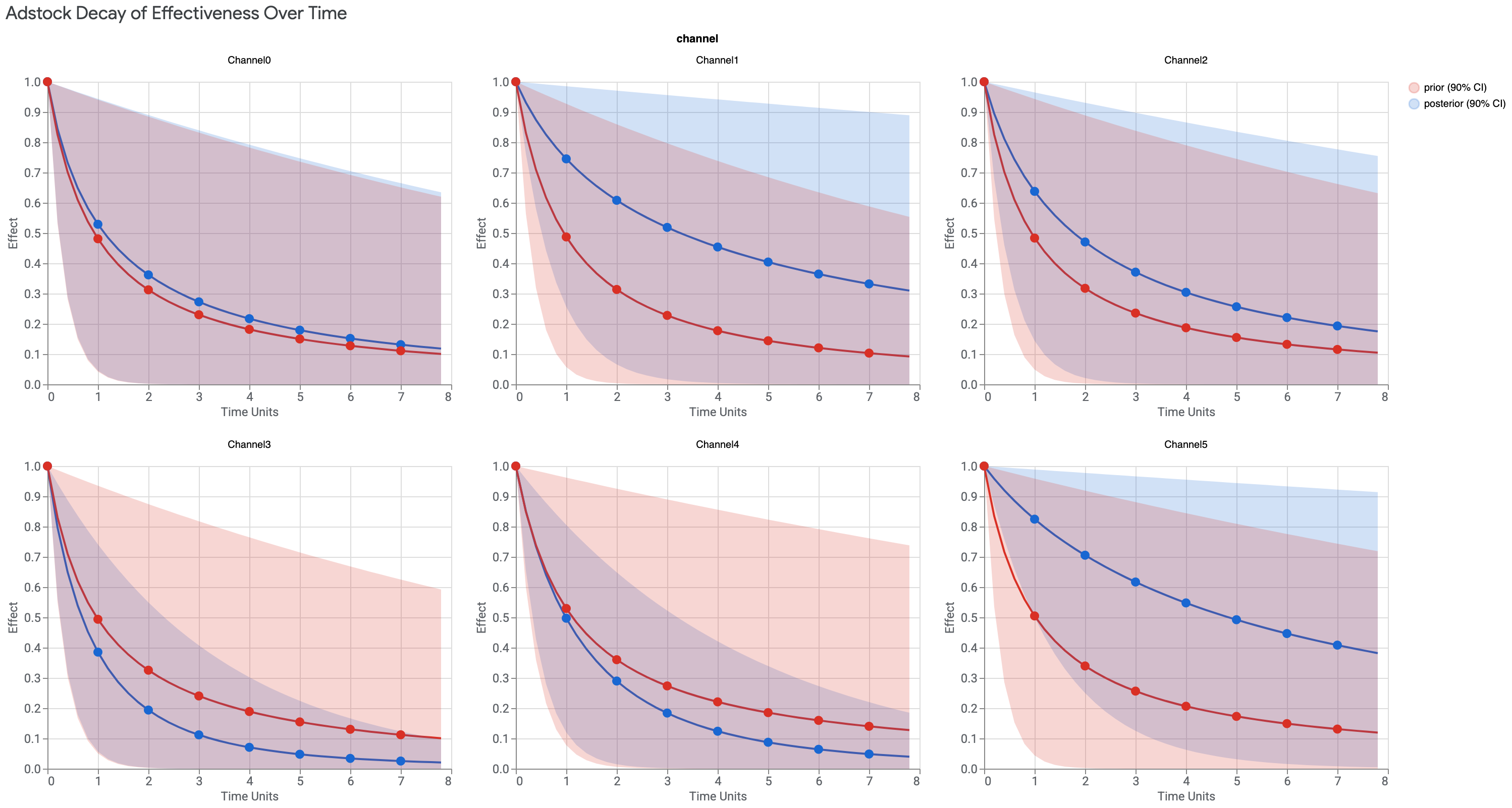
Adstock 減衰
Adstock 減衰を可視化したデータからは、メディア効果の減衰率がわかります。メリディアンで使用される単調に減衰する Adstock 曲線では、1 日目に効果のピークが現れます。この手法では、広告が表示された後も、その広告がユーザーに与えた影響が考慮されます。
事後分布の値が事前分布の値より高い場合は、そのメディア チャネルに広告を掲載する効果は、想定よりも長く持続します。
表示される時間単位は max_lag の値に制限されます。次の出力例では、時間単位が 8 に設定されています。通常は週数に設定されますが、日数を使用することもできます。
Adstock 減衰をプロットするコマンドは次のとおりです。
media_effects.plot_adstock_decay()
出力例:(画像をクリックして拡大)

Hill 飽和曲線
Hill 飽和曲線を見ると、ユーザーに対する広告インプレッションの効果の減少度合いがわかります。このモデルでは、効果の減少(飽和)を示すために C 字型の曲線を使用します。次の例の Y 軸は、無限に広告を表示した場合の相対的な効果を示しています。X 軸は、1 人あたりのインプレッション数です。インプレッションとは、ユーザーが広告を見るたびに加算される指標です。この組み合わせから、各メディア チャネルの飽和度がわかります。
このグラフにはデータのヒストグラムも表示され、データがあるすべての期間と地域における 1 人あたりの広告表示回数もわかります。
Hill 飽和曲線をプロットするコマンドは次のとおりです。
media_effects.plot_hill_curves()
出力例:(画像をクリックして拡大)
