Estudo comparativo

Estudo comparativo de WebP, JPEG e JPEG 2000, setembro de 2010

Observação:realizamos esse estudo inicial com a primeira versão do WebP lançada, que usava a biblioteca libvpx. Além disso, as imagens de origem eram JPEGs que pesquisamos na Web. Com base no feedback da comunidade, realizamos um novo estudo com a versão 0.1.2 do libwebp, começando com imagens sem perdas (PNG) como fonte. O novo estudo substitui este estudo.

A equipe do WebP realizou um estudo comparativo de três métodos de compactação de imagens em um conjunto aleatório de 1 milhão de imagens. O objetivo do estudo era medir a compactação alcançada por esses métodos e analisar as compensações entre tamanhos de imagem e compactação.

Três métodos de compactação, WebP, JPEG 2000 e Re-JPEG, foram aplicados às 900.000 imagens JPEG contidas no conjunto de dados. As imagens JPEG foram compactadas novamente com Re-JPEG para que cada uma ficasse o mais próximo possível de um valor de razão de ruído de sinal (PSNR) de pico desejado. A análise da equipe foi feita nas imagens depois que elas foram compactadas.

Além do estudo em grande escala, a equipe inspecionou manualmente 100 imagens aleatórias e descobriu que, na maioria dos casos, o WebP oferece uma qualidade visual aceitável.

Conclusões

O WebP alcança uma compactação geral maior do que o JPEG ou o JPEG 2000. Os ganhos na minimização do tamanho do arquivo são particularmente altos para imagens menores, que são as mais comuns na Web.

Conjunto de dados

O conjunto de dados usado no estudo foi uma coleção de 1 milhão de imagens amostradas aleatoriamente de um repositório de imagens rastreadas na Web. A tabela a seguir mostra a distribuição de diferentes tipos de imagens no conjunto de dados.

Tipo Contagem
JPEG ~900K
PNG ~47 mil
GIF ~47 mil
Outro ~6 mil

Design do experimento

Os experimentos foram realizados em duas etapas:

  1. A equipe executou o WebP nas imagens com um PSNR de destino de 42. Eles ajustaram o parâmetro de qualidade (QP) para o codificador WebP até conseguirem um resultado o mais próximo possível de 42 para uma determinada imagem. O PSNR real atingido para cada imagem, portanto, não era necessariamente exatamente 42.

  2. A equipe usou o valor PSNR das imagens compactadas por WebP como o PSNR alvo para as imagens JPEG 2000 e Re-JPEG. Eles também realizaram uma pesquisa de linha sobre os parâmetros de qualidade das imagens JPEG 2000 e JPEG para chegar o mais próximo possível do PSNR desejado.

O resultado real da compactação foi medido como uma porcentagem usando a seguinte fórmula:

compression_percentage = 100 * (original_image.length - compressed_image.length) / original_image.length

Resultados

Os testes geraram os seguintes resultados para ganho de compressão negativo e não negativo:

Ganho de compressão não negativo

A equipe não penalizou um método se ele aumentasse o tamanho da imagem após a compactação. Ou seja, a compression_percentage foi considerada 0 quando compressed_image.length era maior que original_image.length.

Ganho de compressão negativo

A equipe permitiu resultados de porcentagem de compactação negativos para entender melhor a performance bruta dos vários compressores.

Confira a seguir as porcentagens médias de compactação alcançadas por cada um dos três métodos.

Tipo PSNR médio obtido % de compactação média
(ganho de compactação não negativo)
% de compactação média
(ganho de compactação negativo)
WebP 39,38 41,30 39,80
JPEG 2000 39,49 27,67 9,71
Re-JPEG 39,36 22,37 14,62

Quando o ganho de compactação negativo foi permitido, a performance média do JPEG 2000 foi menor do que a do JPEG. Isso pode ser devido a artefatos de alta frequência presentes nas imagens JPEG. Esses artefatos podem contribuir para uma situação de compactação não ideal.

A implementação do Kakadu usada no experimento para converter para JPEG 2000 não conseguiu converter aproximadamente 240.000 imagens.

O JPEG 2000 tinha porcentagens de compactação mais baixas do que o Re-JPEG, principalmente porque o resultado do JPEG 2000 era uma compactação negativa para muitas imagens. Por esse motivo, as imagens JPEG alcançaram uma pontuação de compactação geral mais baixa.

As figuras a seguir mostram gráficos de distribuição para os três métodos:

Figura 1: distribuição da população de tamanhos de imagem

O gráfico mostra que a maioria das imagens era pequena. A frequência das imagens com tamanho superior a 500 mil geralmente é menor que 100.

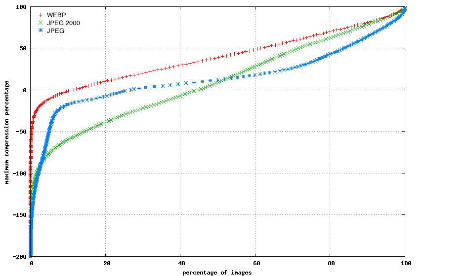
Figura 2: porcentagens de compactação para imagens WebP, JPEG e JPEG 2000

Este gráfico demonstra que o corpo de imagens compactado com WebP teve melhor compactação do que re-jpeg e jpeg 2000. Além disso, as imagens compactadas com WebP tiveram uma compactação mais positiva do que as outras.

Figura 3: comparação dos tamanhos de imagem e da porcentagem de compactação

Este gráfico mostra que o WebP alcança uma compactação melhor do que os outros formatos, principalmente para imagens menores.